| 1.前言
在帶有整流變壓器的可控硅整流電路中,整流變壓器的阻抗是一個很重要的參數。整流變壓器的阻抗導致了換相重疊的產生,使輸出電壓產生換相損失,而且使輸入功率因數降低。對整流器所產生的電流諧波含量也有一定的影響。由整流變壓器的阻抗而產生的換相重疊角對逆變電路的工作狀態有重要影響。因此,研究這些參數之間的定量關系是很必要的。參考文獻[1]、[2]、[3]中所列出的傳統電力電子學教材中,都對此有講述。但參考文獻[1]、[2]在計算公式的推導過程中有不妥之處,將電源的相數m 與整流電路輸出脈波數m 等同起來。且這些參考文獻中均未給出阻抗與整流器的功率因數之間的關系式。因此,作為補充,詳細推導這些參數間的關系是必要的。
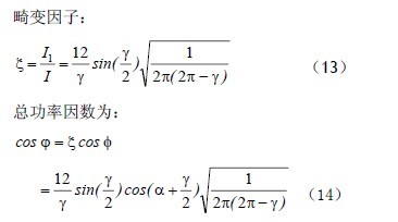
雖然公式(12)、(13)、(14)是從變壓器副邊的電流波形推導出來的,但如果不考慮變壓器的空載電流,變壓器本身并不會改變整流器的功率因數。所以,從變壓器的原邊來看,這三個公式依然正確。
5.結論
通過詳細的理論分析,推導出了整流變壓器的阻抗與換相重疊角、輸出電壓、輸入功率因數的關系。這些公式具有普適性。較之公式(4),公式(6)具有更大的實用價值。這些公式對三相整流電路的設計具有較強的指導意義。
參考文獻
[1] 黃俊,王兆安.電力電子變流技術(第三版).北京:機械工業出版社,1999:54~56
[2] 王兆安,黃俊.電力電子變流技術(第四版).北京:機械工業出版社,2000:59~61
[3] 陳堅,電力電子學——電力電子變換和控制技術(第二版).北京:高等教育出版
山東省永昌電力設備(潤和)有限公司是一家專業生產經營高中低壓輸配電氣設備和變壓器廠家。公司引進日本,德國,瑞士,意大利等國先進制造,檢測設備,確保公司產品始終處于國內外領先水平。 公司主導產品是: 35KV,20000KVA及以下S9,S11油浸式變壓器,SCB10干式變壓器,KS9/KS11礦用變壓器,卷鐵芯變壓器,非晶合金變壓器,有載調壓調容變壓器,電爐變壓器,整流變壓器,歐式箱變,美式箱變,電力變壓器鐵芯加工及器身加工,并可按用戶要求設計生產特種變壓器,非標變壓器,年生產能力200萬KVA;高中低壓輸配電氣設備年生產2萬余臺套,先進的技術,嚴格的質量管理使產品贏得了客戶的信賴,公司變壓器價格優惠,質量可靠,用戶遍布全國,部分產品出口阿拉伯聯合酋長國,東南亞等國家和地區。 公司遵循以人為本,誠實守信的經營理念,以****的產品,優質的服務回報廣大客戶對我們的支持與厚愛。
山東省永昌電力設備有限公司全體員工熱情歡迎各界同仁前來考察洽談!
電 話:0635-5085581 傳 真:0635-5085581
手 機:15806350882 郵 編:252000
郵 箱:sdycbyq@163.com 網 址:http:www.zk-12356.com
地 址:聊城開發區黃山路南首 聯系人:馬經理
 |